▪ Solve-LQR-3Ways
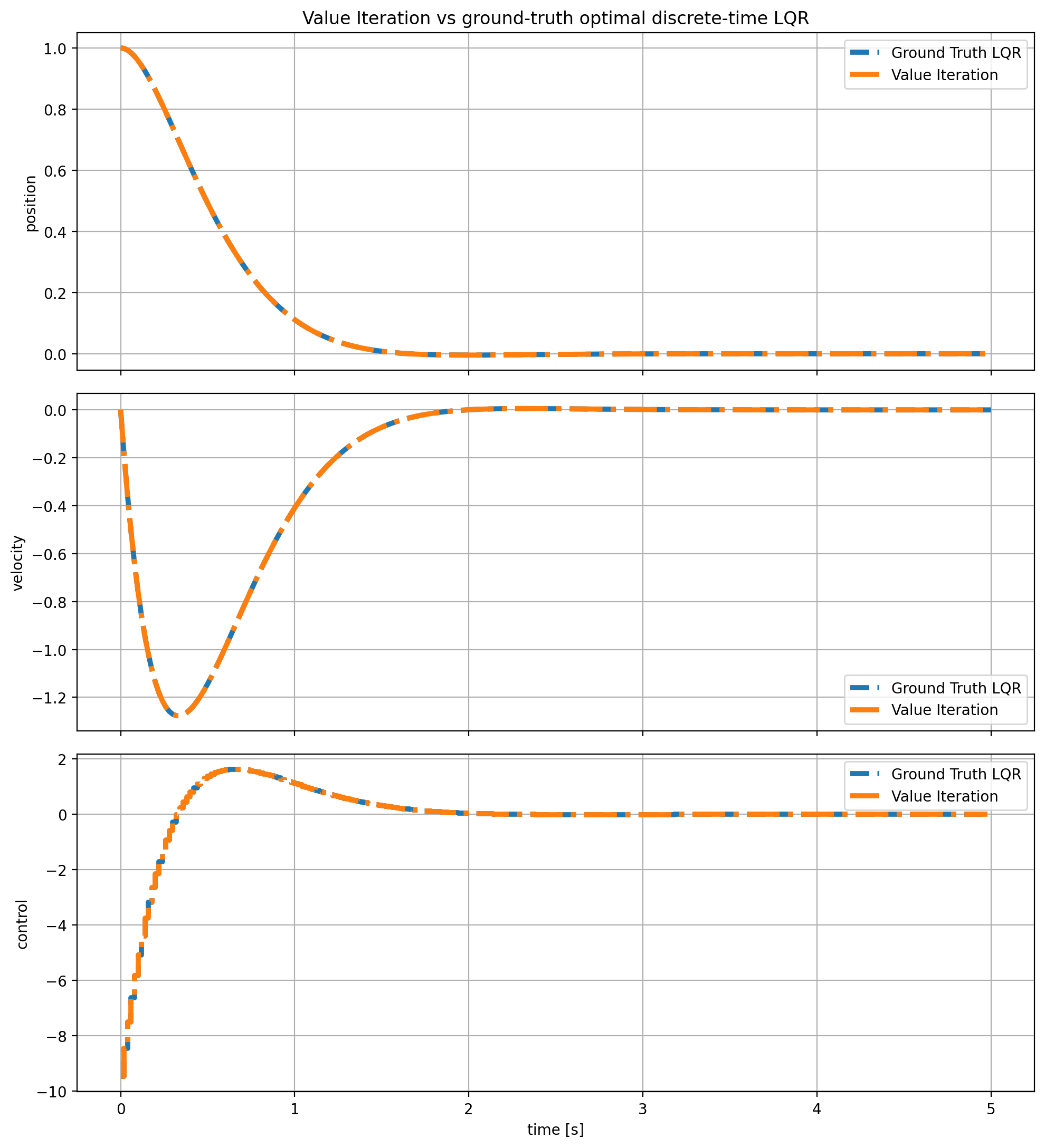
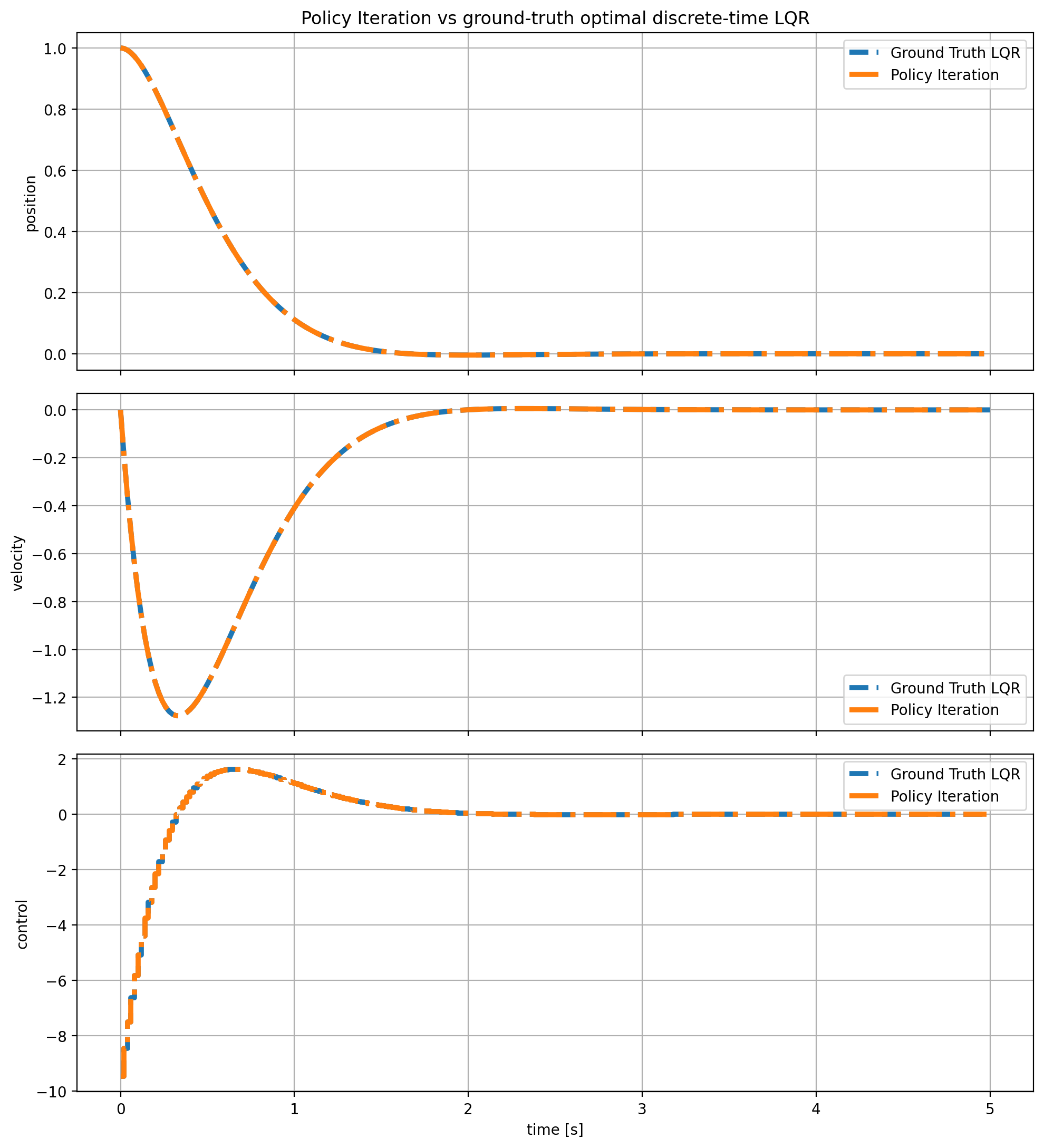
Use policy iteration, value iteration and q-learning methods to solve both standard and discounted LQR problem.
[Code] [Blog Post]

Use policy iteration, value iteration and q-learning methods to solve both standard and discounted LQR problem.
[Code] [Blog Post]
